实验数据驱动的分离流动深度神经网络建模与预测

Experimental data-driven deep neural network modeling and prediction of separated flow

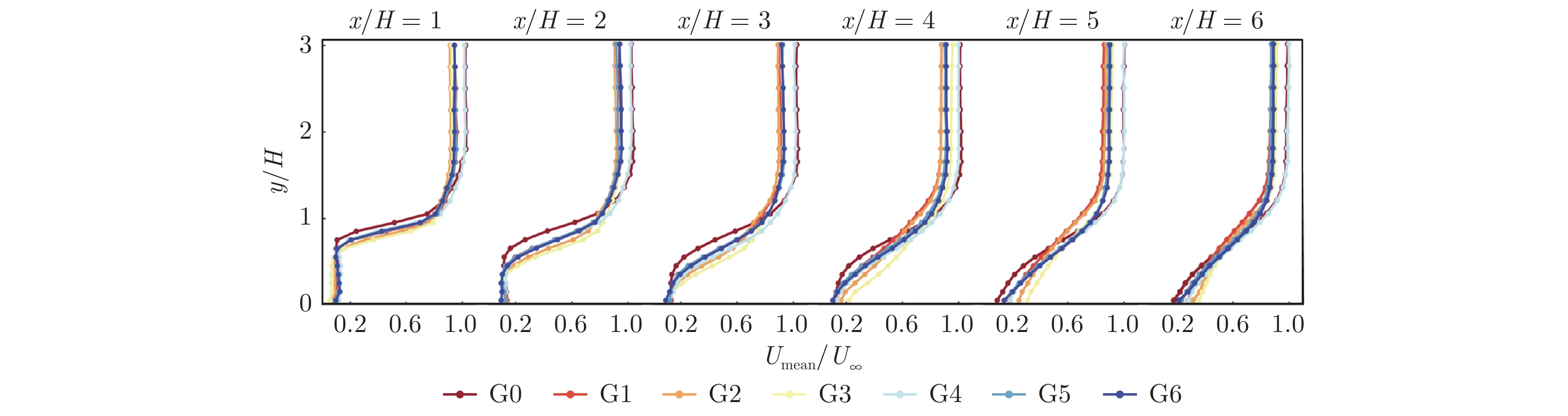
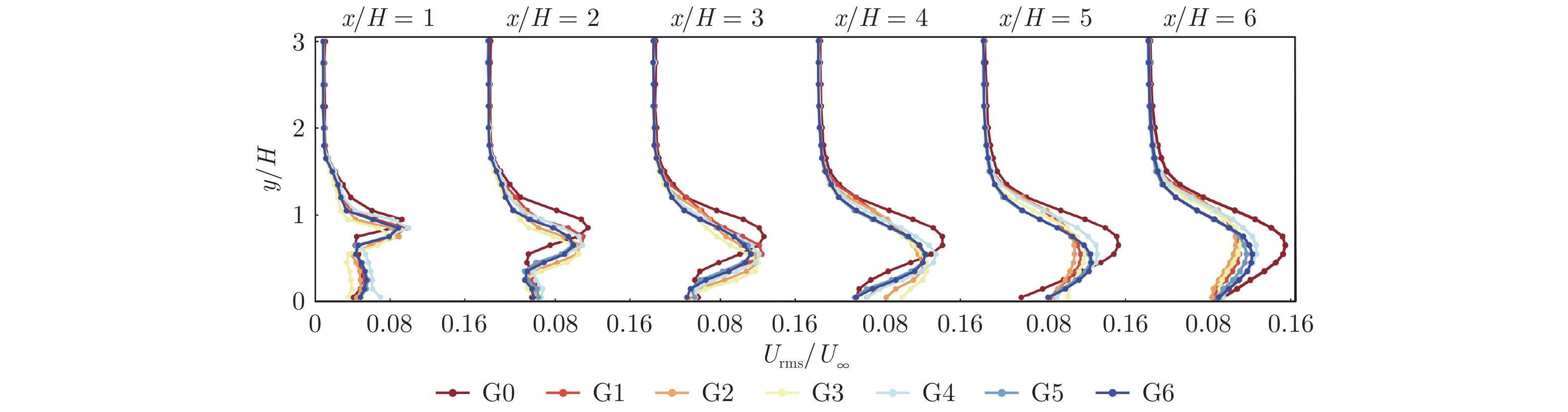
  • 摘要: 本文使用单丝热线风速仪测量了展向排列的旋涡发生器在控制平面后台阶下游分离剪切层流动中的三维空间的速度信息。采用实验数据驱动的深度神经网络方法建立旋涡发生器对后台阶下游流动分离控制效果的非线性动力学模型。该模型以旋涡发生器的高度、排列间距及分离剪切层流场位置作为输入参数,以流场平均速度与湍流脉动强度分布为输出,以热线测量数据为训练集进行模型迭代训练。通过对比模型预测与实验测量结果,模型在流向各位置的平均速度和脉动分布与实验数据的均方误差均小于10−3,验证了实验数据驱动的深度神经网络在分离剪切层流动的非线性模型建立、流场特征表征和实验结果预测方面的能力。通过建立深度神经网络模型,实现对离散的实验测量点之间流场的非线性拟合,进一步丰富了复杂流场信息,为精确提取流场特征、优化旋涡发生器设计提供了数据支持。

     

    Abstract: In this study, spanwise-aligned Vortex Generators (VGs) were used on the backward-facing step for flow separation control in a low-speed wind tunnel, and the downstream separated shear flow was measured by the single-probe hot-wire anemometer. Based on the experimental dataset, Deep Neural Network (DNN) models were established and trained. The input parameters included the heights and spacings of the vortex generators and the spatial coordinates within the separated shear layer, while the output parameters were time-averaged velocities and the root-mean-square of the turbulent fluctuations. The experimental datasets were used in the iterating and training process of the models. In the comparison of the model-predicted and measured results, the mean squared errors between the modeled mean velocities and fluctuation distributions and the measured data at various flow positions were all below 10−3, and thus the data-driven deep neural network models were validated with the ability of nonlinear modeling of the separated shear flow, characterization of flow features and prediction of experimental results. Furthermore, the DNN model managed to enrich the complex flow field information by nonlinear fitting of the discrete measurement points, which leads to optimization of vortex generator designs.

     

/

返回文章
返回