基于压力脉动的湍流度预估方法实验研究

Experimental study on estimation method of turbulence level based on unsteady wall-pressure

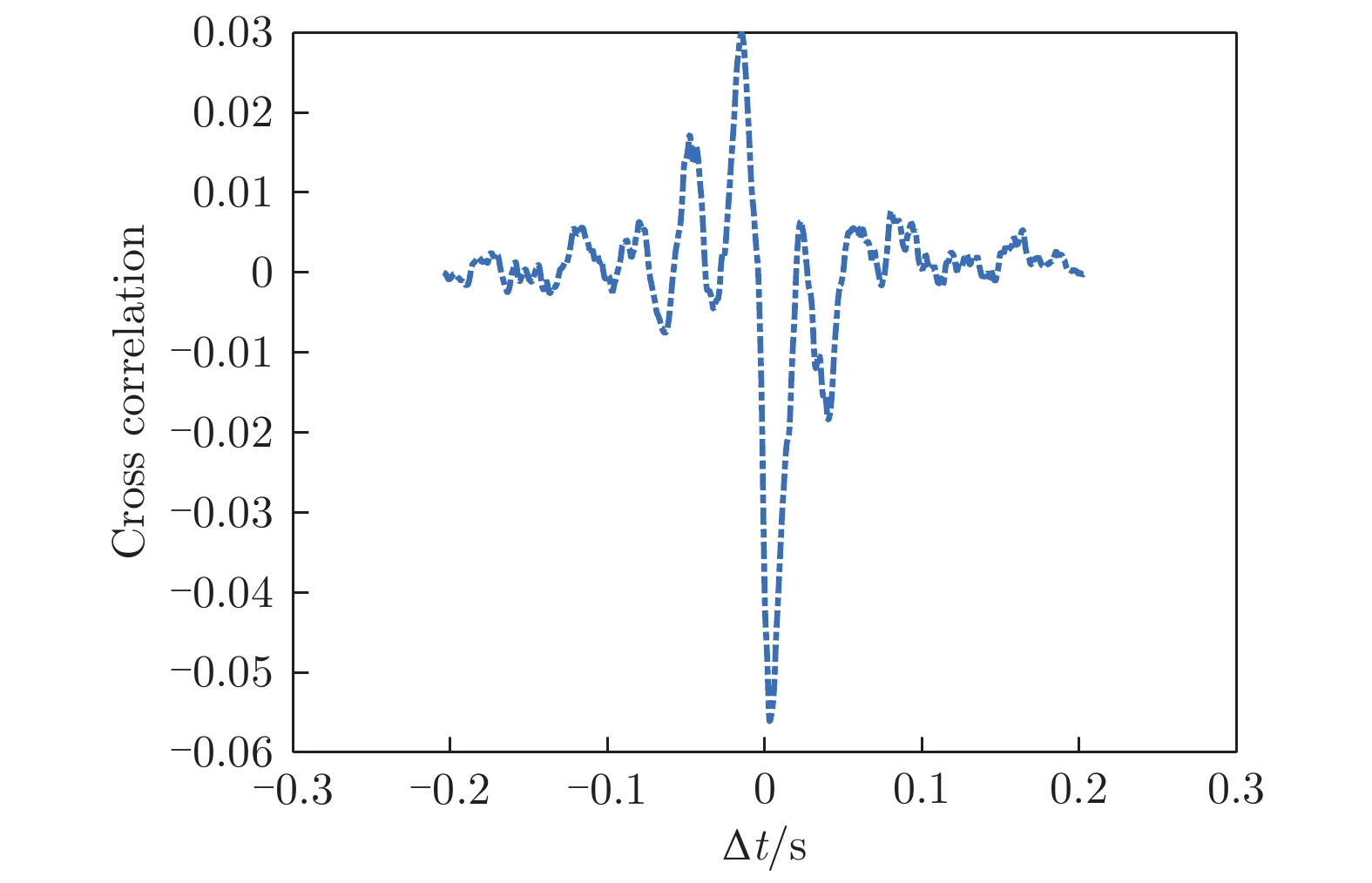
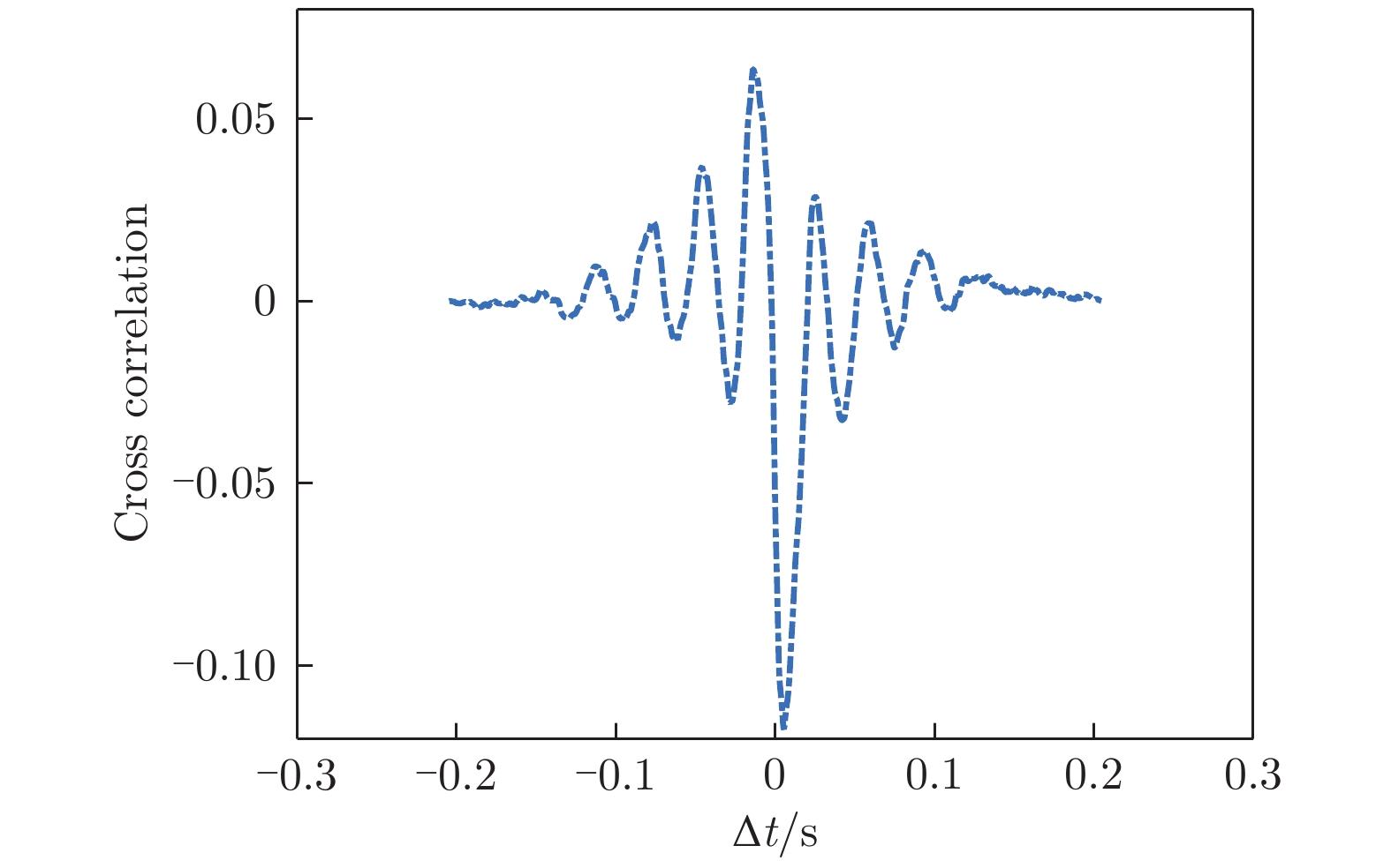
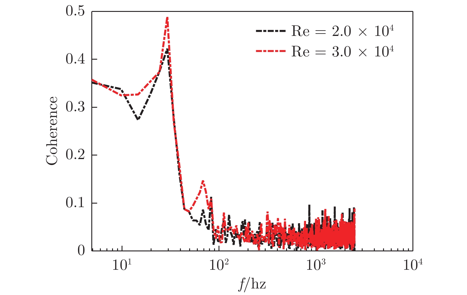
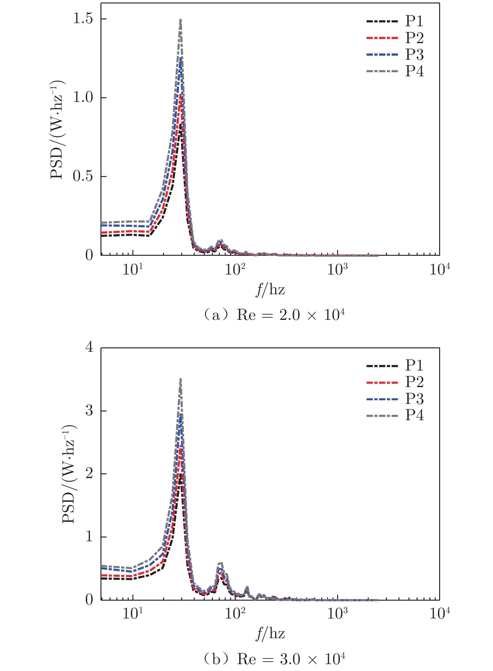
  • 摘要: 准确获取燃烧室出口的湍流度,对于控制高压涡轮表面热负荷、降低叶片热腐蚀至关重要。通过在叶栅风洞实验段进口添加湍流栅格,模拟5%~13%的湍流环境,利用热线风速仪和麦克风分别获取风洞内主流脉动速度和下壁面脉动压力,采用线性随机预估的方法构建相关函数,并在常温条件下利用脉动压力实现对脉动速度和湍流度的预估。结果表明:在叶栅风洞中,脉动压力与脉动速度的相关性低于凹坑、台阶等特殊结构;相比于孔板栅格,圆孔栅格可以带来更高的湍流度,但导致相关性进一步降低;通过修正相关函数表达式,可以在低相关性下将预估误差控制在5%以内。湍流栅格的存在,破坏了叶栅通道内大尺度的涡流结构,是导致相关性降低的主要原因,而通过修正相关函数表达式,可以在常温条件下实现对高湍流度工况的有效预测,为中高温环境下相关研究的开展提供了新的思路。

     

    Abstract: Accurately obtaining the turbulence level at the outlet of the combustion chamber of the gas turbine is crucial for controlling the heat load of the high-pressure turbine and reducing thermal corrosion. By adding turbulence grids at the inlet of the experimental section of the cascade wind tunnel, turbulence level was simulated to range from 5% to 13%. The unsteady velocity in the wind tunnel and the unsteady pressure on the lower wall of the tunnel were obtained using a hot wire anemometer and four microphones respectively. The correlation function was constructed using linear stochastic estimation, and the unsteady velocity and turbulence were estimated using unsteady wall-pressure at conventional temperature. The results show that in the cascade wind tunnel, the correlation between unsteady pressure and unsteady velocity is lower than that of special structures such as cavities and steps; Compared to orifice grids, circular grids can induce higher turbulence levels, but lead to a further decrease in correlation; By modifying the expression of correlation function, the estimated error can be controlled within 5% under low correlation cases. The existence of grids disrupts the large-scale vortex structure in the cascade channel, which is the main reason for the decrease in correlation. By modifying the expression of correlation function, effective prediction of high turbulence conditions can be achieved at conventional temperature, providing a new method for related experiments in medium and high temperature environments.

     

/

返回文章
返回