Abstract:
The mass ejection of ablating gas flow will affect the stability of boundary layer and transition location during thermal protection materials ablation of reentry vehicle. In this paper, the experimental method of ablative gas mass injection in wind tunnel is studied. According to the principle of pipeline gas flow and porous material permeability, the mass flow of ablative gas is simulated. The mass flow of gas is controlled by proportional valve and flow meter, and the transition location is measured by infrared imaging technology. The experimental research is carried out on the blunt cone model under Ma=6.0 and Re=2.5 × 10
7m
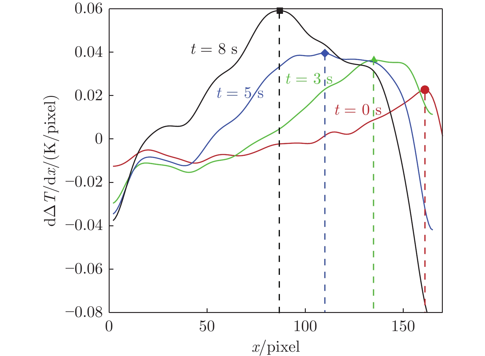
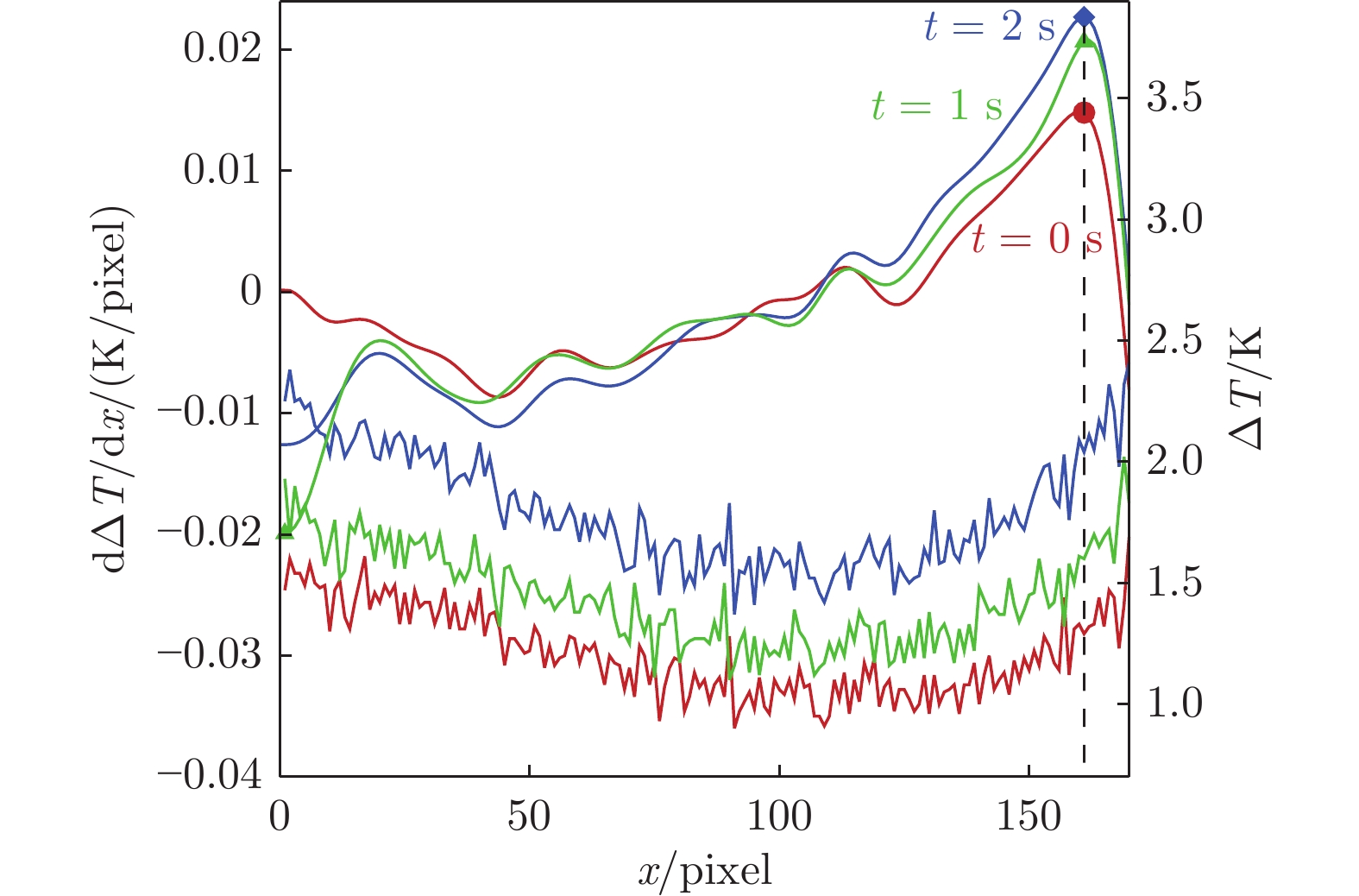
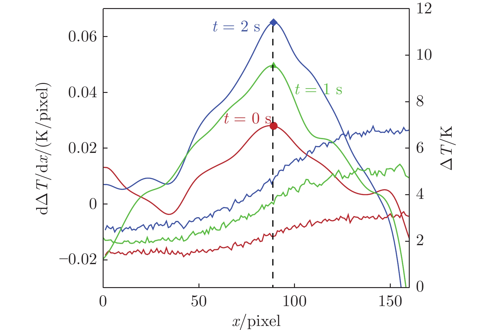
−1 conditions. The results indicated that the technology simulates the ablative gas mass injection of reentry vehicle effectively, and the mass injection can promote the transition: the transition location moves forward with the increasing mass flow of ejected gas. The experimental technique can provide important data for the overall optimization and design of related aircraft.